5 Fakta Melanosis Pada Crustacean (Lobster, Kepiting dan Udang)

Indonesia sangat kaya akan hasil lautnya, salah satunya yaitu crustacean (lobster, kepiting dan udang). Namun, produk crustacean sangat mudah mengalami kerusakan seperti melanosis dan kerusakan mikrobiologis. Melanosis seringkali terjadi pada produk crustacean selama pasca panen. Yuk simak fakta mengenai apa itu melanosis beserta penyebab dan cara penghambatannya
1. Menurunkan nilai jual produk

Melanosis adalah titik hitam yang biasanya muncul pada produk crustacean selama penyimpanan pasca panen. Melanosis menjadi masalah bagi industri pangan karena dapat menurunkan tingkat penerimaan konsumen. Melanosis tidak berbahaya bagi kesehatan konsumen namun tidak enak dipandang sehingga menurunkan nilai jual dari produk crustacean (Goncalves dan Oliveira, 2015)
2. Karakteristik Melanosis

Melanosis dimulai dari cangkang kemudian menyebar ke bagian tubuh lainnya. Intensitas melanosis juga dipengaruhi oleh jumlah enzim dan substrat. Enzim dan substrat tersebut dipengaruhi oleh berbagai faktor seperti jenis kelamin, spesies dan periode ganti kulit dari crustacean. Keberadaan melanosis sering dikaitkan dengan buruknya penanganan pasca panen crustacean dan kontaminasi mikroba (Goncalves dan Oliveira, 2015)
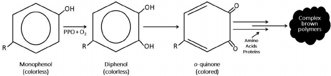
3. Terbentuk dari aktivitas enzim PPO (Polyphenol oksidase)

Pembentukan titik hitam dimulai dari aktivitas enzim PPO. Enzim PPO dengan bantuan oksigen mengubah senyawa monophenol yang tidak berwarna menjadi senyawa diphenol yang mana senyawa diphenol ini kemudian berubah menjadi ortoquinon yang berwarna coklat. Senyawa ortoquinon kemudian bereaksi dengan asam amino dari crustacean membentuk kompleks polimer yang berwarna coklat yang disebut melanin (Goncalves dan Oliveira, 2015)
4. Penyebab melanosis pada crustacean

Melanosis disebabkan oleh penanganan pasca panen yang buruk seperti penanganan yang kasar sehingga menyebabkan luka pada crustacean. Hal ini disebabkan karena enzim PPO berperan dalam penyembuhan luka crustacean sehingga adanya luka menyebabkan enzim PPO aktif dan memperparah melanosis (Nirmal et al., 2015). Kemudian jika crustacean tidak segera dimasukkan pendingin maka melanosis dapat terjadi karena adanya kontak dengan oksigen (Goncalves dan Oliveira, 2015)
5. Cara menghambat melanosis

Cara menghambat melanosis adalah dengan menggunakan asam askorbat/sitrat/malat. Penggunaan asam askorbat/sitrat/malat dapat menurunkan pH sehingga dapat menginaktifkan enzim PPO. Selain itu, dapat menggunakan senyawa sulfit. Senyawa sulfit merupakan inhibitor bagi reaksi enzim PPO. Penelitian yang dilakukan oleh Nirmal et al. (2015) menyebutkan bahwa selain asam dan senyawa sulfit, dapat juga digunakan senyawa fenolik yang terdapat pada buah, sayur, daun, kacang-kacangan, biji-bijian dan bunga
Demikian fakta mengenai melanosis, semoga dapat menambah wawasan kita mengenai penanganan melanosis.

















